Scientists at Boston University claim to have created a new variant of Covid-19 with an 80% mortality rate, by combining the highly-transmissible Omicron variant of the coronavirus with the original Wuhan strain. The research, which echoes experiments thought to have created the virus in the first place, has caused outrage.
In a research paper published last week, the scientists explained that they isolated the spike protein of the Omicron variant and combined it with the “backbone” of the original strain that circulated in early 2020. This created a virus that “robustly escapes vaccine-induced… immunity” and inflicts “serious disease” on laboratory mice, 80% of whom died during testing, the paper stated.
While the team admitted that their mutant strain would likely be less deadly in humans than mice, they found that it produced five times as many virus particles in lab-grown human lung cells when compared to the Omicron variant.
The paper has yet to be peer reviewed.
News of the research caused outrage online, as it is widely believed that similar ‘gain-of-function’ research – a term describing the alteration of a pathogen to enhance its potency – at the Wuhan Institute of Virology in China led to the global Covid-19 pandemic. The US funded such research at the Wuhan Institute, although it is still unclear whether the specific coronavirus that caused the pandemic originated in the lab.
“This should be totally forbidden, it’s playing with fire,” former Israel Institute for Biological Research head Shmuel Shapira said of the Boston experiments. “How many times did virologists say they were not making chimeric SARS viruses more deadly? How many???” reporter Paul Thaker tweeted.
The Boston team aren’t the only scientists returning to potentially dangerous research in the aftermath of the pandemic. EcoHealth Alliance, the private company responsible for much of the Wuhan Institute’s pre-2020 gain-of-function research, was awarded a $650,000 grant by the US last month to study “the potential for future bat coronavirus emergence in Myanmar, Laos, and Vietnam.”
It’s been known since the outbreak of Covid that obesity leads to higher rates of hospitalisations and deaths. Despite this, very few resources were deployed to encourage healthier eating and lifestyles. This article argues that this was a disastrous decision for the long term health of the nation and the short to medium term capacity of the NHS.
Boris Johnson (BMI 34; healthy is under 25) in his New Year message broadcast on December 31st 2020 said: “Get a vaccine, it’s far easier than losing weight” (see video from two minutes in). Well, the people of the U.K. took him at his word: we’ve had 30 months to galvanise the population into losing weight and getting fitter, 30 months entirely squandered.
First, let’s just look at how effective spending £25bn injecting 150 million vaccines into the U.K. population has been. As the NHS continues to struggle to meet demand, perhaps Covid hospital admissions are the key metric. For the vaccine programme to have been a success we should expect the unvaccinated to be disproportionately admitted to hospital. They’re not. These figures come from the latest UKHSA Weekly Vaccine Surveillance Report; table 12a on page 49 gives us the figures for hospital admissions between March 21st and August 28th of this year. In each age cohort the unvaccinated are proportionately less likely to be hospitalised than the vaccinated. As an example, in the 50-64 year-olds, 129 of the 1,342 admissions were unvaccinated, that’s 9.6%. Yet, about 14% of that age group are unvaccinated. If the unvaccinated were more likely to be hospitalised we would expect the figures to be reversed, to see a higher proportion of the unvaccinated hospitalised than the total proportion of people unvaccinated.
Demonstrably, despite the Government’s claims that vaccines have reduced hospital admissions, this can’t be true. Something has reduced hospital admissions from the peaks in the first two waves, but if the rate of admission is much the same for the vaccinated and the unvaccinated I struggle to see how vaccines can explain it. Surely, far more likely are the twin benefits of immunity brought about by prior infection and a less virulent variant. Figure 2 shows the peaks and troughs of Covid hospital admissions since the start of the pandemic.
Also worth noting, the seven-day average number of hospital admissions for Covid is currently 132% higher than it was on October 7th 2020, before anyone anywhere had been vaccinated, and 86% higher than on October 7th 2021 when most people had been vaccinated – though it should be noted that over half of Covid hospital admissions since Omicron have been primarily being treated for something else.
Despite my deep scepticism of the efficacy of the mRNA vaccines and the real world evidence presented above, to avoid any accusations of dogmatism I’m going to indulge the vaccine zealots’ figures for vaccine effectiveness. Again, with the data taken from the Government’s week 40 vaccine surveillance report, figure 3 suggests that the UKHSA thinks that the best protection a fourth dose of vaccine can offer is about 50%, soon falling to 20%.
Now let’s compare that vaccine efficacy with the impact of obesity on severe Covid outcomes by turning to a fascinating study published in June in the Lancet that looked at how BMI affects Covid outcomes. What made this latest study particularly interesting was that it used real, though anonymised, data from about 20% of the U.K. population. The data, from QResearch had over 12 million patient records but about 3 million couldn’t be used, mainly because BMI data were missing, but that still left 9,171,524 patient records to be analysed. So, again, we’re looking at real-world evidence whereas the UKHSA vaccine efficacy rates are estimates.
The data related to the period from December 2020 to November 2021. This was the period covering the initial rollout through to booster doses in older people. Part of the summary table is reproduced in Figure 4. I’ve highlighted in red hospital admissions.
There were 3,509,213 people of a healthy weight in the study, of whom 8,315 were hospitalised with Covid, that’s 0.23%. Of the 3,062,925 overweight people, 10,653 or 0.35% were hospitalised. That means the overweight were 50% more likely to end up in hospital than those classed as healthy weight.
Of the 2,278,649 obese people 13,044 or 0.57% were hospitalised. This means they were 150% more likely require hospital treatment than the healthy weight group.
Let’s now compare the relative risk of being vaccinated with that of being obese. The obese get hospitalised at a rate 150% greater than those of a healthy weight while the best you can hope for from your fourth vaccine is a 50% reduction in the likelihood of being admitted to hospital, dropping to 20% after about four months. And that’s another key point, keep the weight off and that risk reduction remains in contrast to any benefit from vaccination that soon wanes to nothing (assuming it ever existed in the first place).
But of course, it’s not just Covid where the overweight and obese have worse outcomes. The Lancet study goes on to list some of the other health outcomes for other conditions. The obese are almost six times more likely to have type 2 diabetes, more than twice as likely to suffer cardiovascular disease and over three times more likely to suffer hypertension.
Lose weight and many of these rates of disease would fall. The burden on the NHS would be reduced, the people losing weight, in most cases, would feel better and no doubt their mental health would, in the round, be improved.
I was interested in a piece by Michael P. Senger in the Daily Sceptic on October 14th 2022 highlighting the demonisation of the unvaccinated. I really don’t recall anyone in the mainstream media or in Government objecting to this vilification at the time yet it was evident from the Week 35 2021 Vaccine Surveillance Report that in each of the age groups from 40 to 80 the double dosed were testing positive for the virus at a higher rate than the unvaccinated (see an article I wrote back in June that goes into some detail on this point), so it was evident that the unvaccinated represented less of a threat than the vaccinated. Likewise, it’s been known since the Covid outbreak on the Diamond Princess back in February 2020 that obesity was a risk factor. However, can you imagine the furore that would result if people were to suggest that the obese were denied hospital treatment?
It’s not the unvaccinated who are clogging up the NHS, it’s disproportionately the obese and overweight – some of whom have been particularly vocal in vilifying the unvaccinated or in failing to promote healthier lifestyles:
Andrew Neil (estimated BMI 32) argued for restrictions on the freedoms of the unvaccinated.
Piers Morgan (estimated BMI 29) argued for the unvaccinated to be denied NHS care if they caught Covid.
Boris Johnson (estimated BMI 34) attempted to bring in vaccine passports.
Michael Gove (estimated BMI 28) was a keen advocate of vaccine passports.
Therese Coffey (estimated BMI 30), the new Health Minister appears to be far keener on promoting vaccines rather than healthy lifestyles.
The Government spent about £12bn vaccinating the under 50s, largely a pointless exercise. As an advocate of lower taxes and a smaller state I don’t argue that this money should have been spent on schemes to subsidise healthier living. Such schemes invariably fail. What’s more, I would object just as fiercely to coercing people to lose weight as I do to coercing people to get vaccinated. However, I would like to see them campaign to raise people’s awareness of the risks associated with a high BMI. In rough terms, there appears to be about a 10% Covid hospitalisation risk reduction for each BMI point reduction and associated risk reductions for various cancers, diabetes, heart conditions, muscular/skeletal problems and mental health.
Body positivity is all well and good but being overweight is neither risk or cost free. If Andrew Neil, Piers Morgan, Boris Johnson et al. want target a group to be censorious of perhaps they should follow Jordan Peterson’s advice and go tidy their own room first.
Is this the smoking gun that proves hospital neglect and malfeasance, in the midst of a drummed up crisis environment, killed covid patients?
Daniel Horowitz recently interviewed Scott Schara, whose 19-year-old Down syndrome daughter Grace died of “covid” in Ascension’s St. Elizabeth’s Hospital.
In this stunning interview, Scott laid out the real-life horror movie of Grace’s experience in the hospital as a mentally disabled individual, culminating in her being sedated to death by hospital staff. According to him, the cruel indifference of the hospital was at least in part because Grace had Down Syndrome. (Scott created a website that contains all of his meticulously documented evidence and research where you can get all the sordid details for yourself.)
This “anecdote” aligns with the numerous and widely reported instances of the shocking descent of some hospital administrators and healthcare staff into depravity reminiscent of medical war crimes, one of the defining atrocities of the pandemic.
However, while vignettes of individual cases abound, there had not yet been any published data suggesting a direct link from hospital neglect to covid outcomes that would effectively be a smoking gun that hospital malfeasance was and is systematically killing patients.
“Of 2,311,282 people included in the study, 164,046 (7.1%) were admitted and 53,156 (2.3%) died within 28 days of a positive Covid-19 test. We found significant variation in the case hospitalisation and mortality risk over time, which remained after accounting for the underlying risk of those infected. Older age groups, males, those resident in areas of greater socioeconomic deprivation, and those with obesity had higher odds of admission and death. People with severe mental illness and learning disability had the highest odds of admission and death.”
In plain English, they discovered that having a “severe mental illness or learning disability” was a stronger predictor than age and obesity of becoming hospitalized and dying from covid.
It is less clear why there should be higher rates of hospital admission for mentally incapacitated individuals. Regardless, even if there is a completely separate reason for higher hospitalization rates for mentally disabled people, the most plausible explanation why having a learning disability is a greater “comorbidity” than age or obesity is that hospitals/LTC’s are ‘treating them to death’ whether by oversedation or using other inappropriate medical interventions; or utter neglect.
To be fair, the authors noted that obesity “had higher risk of admission than those of a healthy weight, but mortality risk was lower in those overweight, which may indicate higher perceived risk amongst clinicians and a lower threshold for admission.”)
Anyone reading this is undoubtedly well aware that age and obesity have consistently been the two most lethal comorbid factors for covid outcomes. So how can having a severe mental illness or *learning disability* be more lethal than being 258 lbs or 87 years of age?
Now, it is theoretically possible that ‘severe mental illness’ is in reality catching underlying conditions that are the real culprit of the increased hospital admissions and deaths and not the mental illness itself, as people with severe mental illness often are also suffering from severe physiological problems (which are also sometimes contributing to their psychological impairments).
It is not remotely plausible that “learning disabilities” have a physiological connection or influence on the pathological course of covid infection or disease, certainly not en masse that would show up as a stronger safety signal than both age and obesity. The proposition that an otherwise perfectly healthy individual with a learning disability is at a higher risk from covid than your 83-year-old grandma is so absurd that it should call the entire study into doubt.
It is plausible though that hospitals were systematically taking advantage of patients who were mentally incapacitated and therefore especially susceptible to utter neglect, and/or unable to resist adverse “treatment” by medical providers.
The implications of this finding are significant. Although this particular study is analyzing UK data, considering what we know about the general scene in US hospitals, it is overwhelmingly likely that this finding would be replicable using US data (by honest researchers). Consider that it was widely reported by the mainstream media that there were already plans made to triage care away from disabled patients and not just the elderly, e.g. this NBC report.
More importantly, this is another datapoint in the broad mosaic of evidence pointing to the complicity of hospitals and other healthcare provider institutions in the deaths of perhaps hundreds of thousands of covid patients.
In a truly ironic twist, the study authors unwittingly captured the root issue quite accurately, concluding that “People with severe mental illness and learning disability were amongst those with the highest odds of both admission and mortality, indicating the need for proactive care in these groups.”
Is there evidence of similar behavior in the UK?
This is relevant insofar as showing that the mindset, willingness and the means to essentially euthanize patients exists independently of the allegations regarding mentally incapacitated patients in the UK, which would be powerful evidence affirming that the reason that mental disabilities are the most lethal ‘comorbidity’ is that they were selectively discriminated against on an institutional level to receive potentially lethal medical interventions.
CARE homes have been accused of using powerful sedatives to make coronavirus victims die more quickly. Prescriptions for the drug midazolam rocketed during the height of the pandemic, with some claiming it has “turned end-of-life care into euthanasia.”
That elderly nursing home residents represent a large proportion of Covid-19 fatalities is a familiar if sad fact to most Canadians. Even sadder and more disturbing would be if many of those deaths were avoidable. And if some were deliberate, it would be shocking and outrageous. In this investigative piece, Anna Farrow explores the widespread use of “population triage” in several jurisdictions during the pandemic’s early months. While healthcare establishments seemed woefully unprepared in nearly all respects, Farrow found they were lightning-quick to adopt what amounted to killer protocols on thousands of elderly and vulnerable citizens. This included not merely the withholding of advanced care but end-of-life measures using fatal drug cocktails.
Several establishments in Quebec have already suspended the application of protocols, developed at the start of the COVID-19 pandemic, which aimed to relieve patients suffering from respiratory distress.
Canadians heard about it when the military were sent into elderly care homes in late April 2020. “To read Brigadier General C.J.J. Mialkowski’s report about the Ontario homes is to read a document that conveys in the precise, meticulous language of a soldier the horror the military personnel felt. It reads as dispatches from a new kind of battlefield,” Farrow states.
“There were common themes across the five facilities: lack of permanent, trained, and coordinated staff; misuse of narcotics; shortage of supplies; inadequate nutrition and hydration of residents.”
At risk of rehashing what I stated above, these scandals are a solid indication of the following:
The medical profession is capable of sedating or otherwise ‘treating’ patients to death, both morally and practically.
Medical institutions had developed protocols to systematically implement treatment regiments that result in the deaths of patients.
Medical practitioner and healthcare worker whistleblowers claiming that hospitals and nursing homes were committing negligence or outright causing patient deaths are credible as a general matter.
This neatly fits in with the hypothesis that hospitals were systematically taking advantage of mentally disabled patients to withhold treatment, or worse, recklessly administer sedatives and ventilate them.
COVID-19 is much less deadly in the non-elderly population than previously thought, a major new study of antibody prevalence surveys has concluded.
The study was led by Dr. John Ioannidis, Professor of Medicine and Epidemiology at Stanford University, who famously sounded an early warning on March 17th 2020 with a widely-read article in Stat News, presciently arguing that “we are making decisions without reliable data” and “with lockdowns of months, if not years, life largely stops, short-term and long-term consequences are entirely unknown, and billions, not just millions, of lives may be eventually at stake”.
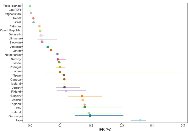
In the new study, which is currently undergoing peer-review, Prof. Ioannidis and colleagues found that across 31 national seroprevalence studies in the pre-vaccination era, the average (median) infection fatality rate of COVID-19 was estimated to be just 0.035% for people aged 0-59 years people and 0.095% for those aged 0-69 years. A further breakdown by age group found that the average IFR was 0.0003% at 0-19 years, 0.003% at 20-29 years, 0.011% at 30-39 years, 0.035% at 40-49 years, 0.129% at 50-59 years, and 0.501% at 60-69 years.
The study states that it shows a “much lower pre-vaccination IFR in non-elderly populations than previously suggested”.
A breakdown by country reveals the wide range of IFR values across different populations.
The significantly higher values for the top seven suggest some of the difference may be an artefact of, for example, the way Covid deaths are counted, particularly where excess death levels are similar. Note also that the antibody studies date from various points during the first year of the pandemic, most of them prior to the large winter wave of 2020-21, when levels of spread and numbers of deaths were more varied than later in the pandemic as subsequent waves caused countries to converge.
The reason some countries had much lower values and some much higher is not completely clear. The authors suggest that “much of the diversity in IFR across countries is explained by differences in age structure”, as per the plot below.
However, the age breakdown by country suggests that the IFR differed for each age group in each country, casting doubt on that suggestion. (In the chart below, note the logarithmic scale, and ignore the zig-zag lines, which are due to small countries having low numbers of deaths.)
Why are countries seeing differing IFRs even for the same age groups? The authors suggest a number of explanations, including data artefacts (e.g. if the number of deaths or seroprevalence are not accurately measured), presence and severity of comorbidities (for example, obesity affects 42% of the U.S. population, but the proportion of obese adults is only 2% in Vietnam, 4% in India and under 10% in most African countries, though it affects almost 40% of South African women), the presence of frail individuals in nursing homes and differences in management, healthcare, overall societal support and levels of drug problems.
Prof. Ioannidis has previously published a number ofpapers estimating COVID-19’s IFR using seroprevalence surveys. He and his team conclude that their new estimates provide a baseline from which to assess further IFR declines following the widespread use of vaccination, prior infections and evolution of new variants such as Omicron.
As a non-partisan, volunteer activist group, Fearless Canada was present at the beginning and on several other occasions during the Freedom Convoy protest in Ottawa. As such, many of our members witnessed first-hand what the situation looked like on the ground and how it all began. We took extensive video footage of the events during the first weekend from the moment when truckers were being directed toward Parliament by Ottawa police. We have decided to submit our evaluation of the events as well as our strongly held view that the invocation of the Emergency Measures Act (hereafter referred to as “EMA”) by the Trudeau government was not only inappropriate, but also unlawful and unconstitutional.
We must first unequivocally state that, in our view, the Trudeau government’s decision to invoke the EMA in no way met the legal threshold to do so. The usage of the EMA is reserved for exceptional circumstances in which a serious foreign or existential threat imperils the security of the nation. Such security threats would be typically related to war, as the older, subsequently replaced War Measures Act aimed to address. In no conceivable way could the temporary discomfort or inconvenience borne by Ottawa citizens or businesses justify the use of an Act that is meant to aid the government in protecting the nation against threats of an incalculably larger scale. As such, the purpose of the Commission is not to determine whether the invocation of the EMA served the Trudeau government in its objective to deescalate the so-called “occupation” of Ottawa’s downtown core, but rather to assess whether the legal threshold for its invocation was met.
The Early Days in Ottawa
Our group arrived in Ottawa in the early afternoon of January 28, 2022. The first thing we noticed was Ottawa police directing truckers and their rigs onto Wellington Street towards Parliament. The atmosphere was festive and light despite the frigid weather. As more protesters arrived in Ottawa over the course of the weekend, we would quickly observe that the crowds were both peaceful and diverse. Men, women, and children from all different backgrounds and walks of life gathered in the capital with a common goal. They demanded that the Trudeau government lift measures that, in their view, were both unjustified and discriminatory in nature. As a result of those measures, the majority of protesters in Ottawa were themselves directly impacted in profound and often irreversible ways.
In talking with dozens of truckers and protesters, we learned that many had lost their jobs, connections to loved ones, access to essential services, and much more. While speaking with police officers, we learned that many felt they were unlawfully coerced into taking a COVID vaccine in order to keep their jobs. Our impression on the ground was that the majority of police officers were in fact aligned with the goals of the protest. They, too, wanted to see an immediate end to damaging and ineffective policies that divided our nation along medical lines previously acknowledged as a matter of private and personal concern.
Legacy Media and the Trudeau Government’s Portrayal of the Freedom Convoy
While in Ottawa, our group kept an eye on the news coming out of legacy media outlets such as the CBC, CTV News, and Global News. It became impossible not to notice that a concerted narrative had quickly taken shape to misrepresent the situation and characterize protesters as far-right extremists, racists, antisemites, and more. The unjustified slander of protesters directly conflicted with our experience on the ground. What we saw was a festive and peaceful rally, replete with volunteers offering food and shelter from the cold, routinely cleaning streets and sidewalks, and organizing fun activities for the kids. At no time did we spot a single racist or Nazi in the vast crowds, as was incessantly suggested by both the Liberal government and the mainstream media. From what we could tell, these characterizations were fabricated in order to serve a narrative that aimed to discredit the legitimacy and lawfulness of the protest.
As time went on, the media’s portrayal of the situation continued to unhinge itself from reality. The press published stories about imminent violence, a van loaded with illegal firearms, and more. None of these allegations turned out to be true. Yet, the misrepresentation of the situation had already reached the eyes and ears of Canadians from coast to coast, very few of which witnessed the event themselves. But by then, the damage had already been done, just as it seemed to have been intended.
The Invocation of the EMA
At the moment the Trudeau government invoked the EMA, it must be noted that the protest in Ottawa was already in the process of de-escalation. The protest organizers and their lawyers had already brokered a dismantlement deal with the Ottawa mayor and police services. Truckers were already on their way out of the downtown core and the blockades at two Canadian points of entry had already long-since been dismantled. Yet rather than follow an organized de-escalation plan agreed to by all factions, Ottawa police and the Trudeau government instead opted to escalate the situation by using violence and propaganda against Canadian citizens. The impacts of the invocation of the EMA were profound and unwarranted.
Immediately ensuing the invocation of the EMA, police and governmental authorities froze protesters’ bank accounts and deployed violent anti-riot squads all over the downtown core of Ottawa. Several protesters were injured as police again escalated tensions using all manner of crowd dispersal techniques. In the days following the invocation of the EMA, Finance Minister Chrystia Freeland wasted no time in announcing that certain aspects of the EMA would be written into law, granting broad and unconstitutional powers to government without the requisite EMA enacted. It had become clear that the Trudeau government had a predetermined objective in enacting the EMA, one that would grant greater leverage over political dissidents and, more broadly, Canadians that disagreed with its ideology. This in itself represents an egregious misuse of the EMA in order to further a political agenda.
Conclusion
The volunteer activists at Fearless Canada include Canadian scholars, lawyers, professors, small business owners, and artists. We unanimously and unequivocally feel that the Trudeau government’s invocation of the EMA as a response to ongoing protests in Ottawa was both unlawful and unconstitutional. We submit that the government manipulated public opinion by fabricating evidence of unlawful activity in Ottawa and invoked the EMA under false pretenses in order to abet their predetermined agenda. We believe that the evidence overwhelmingly supports our position, and we look forward to seeing all of it brought to light during the Commission’s discovery process.
This statement was authored by the executive of Fearless Canada and endorsed by members.
The statement has been submitted to the Public Order Emergency Commission of Canada, which began public hearings on Thursday, October 13, which will run every weekday until November 25. Live hearings can be viewed here, and True North Centre publishes a recap for each day.
Members of the OPEC+ group of countries issued a slew of statements on 16 October to endorse a major oil production cut that was announced earlier this month.
These statements were released in response to the accusations of irate US officials, who said Saudi Arabia “coerced” their OPEC partners into supporting the cut, allegedly to “increase Russian revenues and blunt the effectiveness of [western] sanctions.”
Washington went on to claim that several Gulf nations contacted them “privately” to say they disagreed with the OPEC+ decision.
“I would like to clarify that the latest OPEC+ decision, which was unanimously approved was a pure technical decision, with NO political intentions whatsoever,” the UAE Energy Minister, Mohamed al-Mazrouei, Tweeted on Sunday.
Kuwait Petroleum Corporation Chief Executive Officer, Nawaf Saud al-Sabah, also welcomed the decision by OPEC+ and said the country was “keen to maintain a balanced oil market.”
Similarly, Iraq’s Oil Marketing Company (SOMO) said via a statement on Sunday that OPEC+ decisions are “based on economic indicators and are taken unanimously.”
“There is complete consensus among OPEC+ countries that the best approach in dealing with the oil market conditions during the current period of uncertainty and lack of clarity is a pre-emptive approach that supports market stability and provides the future the guidance it needs,” the SOMO statement reads.
Algerian Energy minister Mohamed Arkab called the recent production cut “historic” and expressed his full confidence in the organization’s decision during a meeting on Sunday with OPEC Secretary General Haitham al-Ghais, who said that “these statements … are proof that the decision was correct.”
Oman’s energy ministry also released a statement endorsing the decision, saying via Twitter: “The recent decision of OPEC+ to cut production is in line with its previous decisions in terms of its reliance on market data and its variables, which was important and necessary to reassure the market and support its stability.”
A day earlier, the Oil Minister of Bahrain, Dr. Mohamed Bin Daina, said in a statement that the decision to cut production “was taken unanimously and after a thorough technical study of the global market.”
On 5 October, OPEC+ – a bloc of over 20 OPEC and non-OPEC nations, including Russia – announced an oil production cut of two million barrels per day (bpd) for November, their largest cut since the start of the COVID pandemic.
The decision was made despite intense lobbying by the White House, which had hoped to keep fuel prices down ahead of upcoming midterm elections, as Joe Biden’s democratic party is facing an uphill battle.
After yet againfailing to coerce their Gulf partners into boosting production levels in order to keep fuel prices down, US officials have been scrambling for an appropriate response, even reviving a piece of legislation that would allow for sovereign states to be sued in federal court.
Moreover, Washington has accused Saudi Arabia of orchestrating the cut to “benefit Russia” after the kingdom responded to the US pleas with a “resounding no.”
Two massive terrorist strikes misfired spectacularly and a terrible beauty is born in the Ukraine war. These two carefully planned attacks in quick succession — on Nord Stream gas pipelines and Crimean Bridge — were intended as a knockout blow to Russia. According to President Vladimir Putin, people ‘who want to finally sever ties between Russia and the EU, weaken Europe’ are behind the Nord Stream blasts. He named the US, Ukraine and Poland as ‘beneficiaries’.
Last Wednesday, Russia’s domestic intelligence service FSB identified Ukraine’s military intelligence chief, Kyrylo Budanov, as the mastermind behind the Crimean attack. The New York Times and Washington Post also pointed fingers at Kiev, quoting ‘sources’. While Nord Stream-1 has been crippled, one of the strings of Nord Stream-2 remains intact. Putin said last week that the pipeline could be restored and Russia could deliver about 27 billion cubic metres of gas. ‘The ball is on the side of the European Union, if they want — let’s turn on the tap,’ he said.
But mum’s the word from Brussels. It is a profoundly embarrassing moment for the EU. The triumphalism has vanished as Europe is threatened by years of recession caused by the blowback from sanctions against Russia, where the US insisted on the cut off of energy ties with Moscow. The EU has now become a captive market for Big Oil and is left to buy LNG from the US at the asking price, which is six to seven times higher than the domestic price in the US. (Contracted price for long-term Russian supply for Germany used to be about $280 per 1,000 cubic metres as against the current market price hovering around $2,000.)
Plainly put, the Europeans have been nicely played by the Americans. India should take note of the US’ sense of entitlement. Basically, the Biden administration created a contrived energy crisis whose real aim is war profiteering.
The Crimean Bridge attack of October 8 is much more serious. Zelenskyy has crossed a red line that Moscow had repeatedly warned him against. Putin has disclosed that there have also been three terrorist attacks against the Kursk NPP. Russians will settle for nothing less than the ouster of the Zelensky regime.
Russia’s retaliation against Ukraine’s ‘critical infrastructure’, something Moscow refrained from so far, has serious implications. Since October 9, Russia has begun systematically targeting Ukraine’s power system and railways. Noted Russian military expert Vladislav Shurygin told Izvestia that if this tempo was kept up for a week or so, it ‘will disrupt the entire logistics of the Ukrainian military — system for transporting personnel, military equipment, ammunition, related cargo, as well as the functioning of military and repair plants.’
The Americans are cocooned in a surreal world of their self-serving narrative that Russia ‘lost’ the war. In the real world, though, Ivan Tertel, KGB chief in Belarus, who has an insider view of Moscow, said last Tuesday that with Russia boosting its troop strength in the war zone — 300,000 troops who have been mobilised plus 70,000 volunteers — and the deployment of advanced weaponry, ‘the military operation will enter a key phase. According to our estimates, a turning point will come in the period from November of this year to February of next year.’
Policy-makers and strategists in Delhi should make a careful note of the timeline. The bottom line is, Russia is looking for an all-out victory and will not settle for anything less than a friendly government in Kiev. Western politicians, including Biden, understand that there is nothing stopping the Russians now. The US’ weapon kitty is running dry as Kiev keeps asking for more.
When asked whether he’d meet Biden at the G20 in Bali, Putin derisively remarked on Friday, ‘He (Biden) should be asked whether he is ready to hold such negotiations with me or not. To be honest, I don’t see any need, by and large. There is no platform for any negotiations for the time being.’
However, Washington has not yet thrown in the towel and the Biden administration remains obsessed with exhausting the Russian military — even at the cost of Ukraine’s destruction. And, for the Russians too, there is still much to be worked out on the battlefield: the oppressed Russian populations in Odessa (which suffered unspeakable atrocities from the neo-Nazis), Mykolaiv, Zaporizhya, Dnipropetrovsk, Kharkov are expecting ‘liberation’. It’s a highly emotive issue for Russia. Again, the overarching agenda of ‘demilitarisation’ and ‘denazification’ of Ukraine must be taken to its logical conclusion.
When all that is over, Putin knows Biden will not even want to meet him. Hungarian PM Viktor Orban said last week:
‘Anyone who seriously believes that the war can be ended through Russian-Ukrainian negotiations lives in another world. Reality looks different. In reality, such issues can only be discussed between Washington and Moscow. Today, Ukraine is able to fight only because it receives military assistance from the United States…
‘At the same time, I do not see President Biden as the person who would really be suitable for such serious negotiations. President Biden has gone too far. Suffice it to recall his statements to Russian President Putin.’
India should expect the defeat of the US and NATO, which completes the transition to a multipolar world order. Sadly, Indian elites are yet to purge their ‘unipolar predicament’. Europe, including Britain, is devastated and there is palpable discontent over the US’s ‘transatlantic leadership’. Indo-Pacific strategy is hopelessly adrift. New power centres are emerging in India’s extended neighbourhood, as the OPEC’s rebuff to Washington shows. A profound adjustment is needed in the Indian strategic calculus.
The European Union must embrace a tougher stance towards China, as Beijing has come to pose a more significant challenge to the West, the bloc’s foreign service has recommended, as reported by the Financial Times. The new stance is partly due to China’s refusal to denounce Russia over the Ukraine conflict.
The ministerial paper, which advises EU countries on overall China strategy, reportedly said that it “has become an even stronger global competitor for the EU, the US” and their allies, adding that this development makes it necessary “to assess how best to respond” to challenges stemming from Beijing’s actions.
According to the paper, the factors that should prompt the EU to rethink its China policy include Beijing’s “backing for Russia in its invasion of Ukraine,” its alleged threats to the self-governed island of Taiwan, which China regards as its own territory, and the supposed crackdown on human rights.
Meanwhile, China’s deepening ties with Russia amidst the Ukraine conflict are said to be “a worrying development . . . [that] cannot be ignored.” Beijing’s stance on the hostilities has “brought China to more directly contest western democracies,” the paper said.
One EU official, interviewed by the outlet, noted part of the document which claims “China is not going to change,” adding that it’s moving towards “all-out competition” with the West, both in economic and political dimensions.
The policy paper, which is supposed to be discussed by EU foreign ministers in Luxembourg on Monday prior to a debate on China at a summit on Thursday, explained that the EU’s view of Beijing as “partner-competitor-systemic rival” is no longer valid.
Only one paragraph of the document is said to be dedicated to potential partnership areas, including climate change, environment, and health.
Earlier this year, the EU, while confirming its commitment to cooperation, publicly recognized that relations have deteriorated, due to such “irritants” as Beijing’s counter-measures against EU human right sanctions and its stance on the Ukraine conflict.
While many Western countries have imposed sweeping sanctions on Russia after Moscow started its military campaign in Ukraine in late February, China has refused to join them. It has repeatedly stated that the West and Ukraine had failed to address Russia’s “legitimate security concerns” while blasting NATO for pushing tensions between Moscow and Kiev to a “breaking point.”
EU judicial institutions never showed interest in investigating the nearly decade-long mass murder of civilians in Donbass
By Drago Bosnic | October 17, 2022
Ever since Russia started its counteroffensive against NATO aggression in Eastern Europe, the political West has been parroting the narrative that Moscow is allegedly committing war crimes in Ukraine. Although there has been virtually zero evidence to support such claims, the mainstream propaganda machine refuses to give up. The Kiev regime and its geopolitical puppet masters in Washington DC and Brussels are also resorting to false flags and so-called deep fakes to create and maintain the narrative that Russian forces are deliberately targeting civilians. And yet, the Western mainstream propaganda machine often gets caught in its own web of lies. On October 11, The New York Times published an op-ed by Mike Ives in which he made the following claim:
“The Russian missile and drone attacks that killed at least 19 people across Ukraine on Monday were traumatic and wide-ranging, but they were not as deadly as they could have been… …That has renewed questions over the quality of Russia’s weapons and about the capacity of its forces to carry out President Vladimir V. Putin’s military designs.”
The claim clearly indicates that Russia’s recent missile strikes targeting the Kiev regime’s critical military infrastructure are somehow seen as “ineffective” because there were “too few” casualties. Such a sadistic claim serves as proof that propaganda pushed by the political West has no limits. Russia has been using advanced long-range precision weapons to target key military units and infrastructure of the Kiev regime forces. This approach is a result of both high-tech aspects of the Russian military and the fact that Moscow’s special military operation is still prioritizing the reduction of civilian casualties. And yet, even though the Western propaganda machine acknowledges this reality, the narrative of alleged Russian “war crimes” in Ukraine needs to be pushed into the mainstream. This is especially true when it comes to giving these false claims a legal and judicial aspect.
In recent days multiple reports have been published, claiming the European Union and Eurojust, the bloc’s agency dealing with judicial cooperation in criminal matters among agencies of the member states, have been working to create the judicial framework for dozens of fabricated reports of supposed Russian “war crimes” in Ukraine. According to Eurojust’s October 13 press release, this was the central theme of the 16th meeting of the Consultative Forum of Prosecutors General of EU Member States. Prosecutors General and Directors of Public Prosecutions discussed the self-appointed “expanded role” of Eurojust in matters of alleged war crimes and crimes against humanity. They also met with their new Kiev regime counterpart Andriy Kostin and the Prosecutor of the International Criminal Court Karim A.A. Khan KC.
Olivier Christen, Director of Criminal Affairs and Pardons of France, stated that the EU “remains fully committed” to identifying and prosecuting the perpetrators of the atrocities taking place in Ukraine. He further pointed out that Eurojust has “expanded its prerogatives” in order to improve the “fight against impunity for war crimes.” Eurojust President Ladislav Hamran stated that “never in the history of armed conflict has the legal community responded with such commitment and determination” and that the meeting “will further fuel the joint ambition to bring justice to the Ukrainian people.” Apart from alleged Russian “war crimes”, the panel members discussed what they called the “disinformation via cyberspace”, which was further expanded to include notes on “practical experiences and challenges in relation to the prosecution of violations of the current EU sanctions against Russian and Belarusian individuals and companies.”
In another press release, also published on October 13, Eurojust announced that Romania also became a member of the joint investigation team (JIT) on alleged war crimes in Ukraine. Romania was the seventh member of the JIT, which was set up on 25 March 2022 by Lithuania, Poland and Ukraine and later joined by Estonia, Latvia and Slovakia. In April of this year, the Office of the Prosecutor at the International Criminal Court (ICC) became a participant in the JIT. The relevant meeting was held just prior to the aforementioned 16th Meeting of the Consultative Forum of Prosecutors General. According to their own admission, Eurojust is also providing “essential logistical and operational support” to the JIT partners, including to “investigators” on the ground in Ukraine.
Needless to say, there was no mention of the Kiev regime death squads operating in the Kharkov, Zaporozhye, Kherson and Donbass. The meeting members discussed only alleged Russian “war crimes” and the supposed Moscow’s “disinformation campaign”, despite the fact that the Neo-Nazi junta henchmen are openly boasting about “killing traitors”. Numerous Telegram channels have already published gruesome videos showing the Neo-Nazi death squads killing civilians and then throwing them into mass graves. In doing so, the Kiev regime accomplishes at least two goals – it gets rid of “noncompliant” or “pro-Russian” civilians and also gets to accuse Russian troops of killing them. The propaganda machine of the political West then comes into play, while EU agencies such as Eurojust cement the narrative from a judicial and legal perspective.
It would be naive, to say the least, to believe that the EU or any other entity of the political West would ever objectively investigate actual war crimes taking place in Ukraine. Charades such as the ones in Bucha and recently in the Kharkov region serve as a testament to that. None of the so-called “international” judicial institutions, such as the aforementioned ICC, ever showed interest in investigating the nearly decade-long mass murder of civilians in Donbass. Despite approximately 15,000 deaths from 2014 to 2022, with hundreds or even thousands more in recent months, as the Kiev regime forces never stopped shelling Donetsk and other towns and areas, the mainstream propaganda machine has been successful in suppressing most information on this.
Press TV Correspondent from Donetsk, Johnny Miller, says Ukraine has been hitting civilian areas on the outskirts of Donetsk, and today, the central city administrative building was hit by US-made missiles.
Ukraine attacked Donetsk with American missiles – mayor
Samizdat | October 16, 2022
Ukrainian forces have carried out a strike on Donetsk using the US-made HIMARS multiple rocket launch system, with one missile hitting the city administration building, local authorities claimed on Sunday. Four people were reportedly wounded.
Alexey Kulemzin, the mayor of Donetsk, posted a video on his Telegram account depicting a pile of rubble around what appeared to be the city administration. Another clip uploaded by Kulemzin shows extensive damage to the building, as well as several wrecked and charred cars nearby.
According to the territorial defense of the Donetsk People’s Republic (DPR), four people were wounded during the shelling.
Meanwhile, local authorities told RIA Novosti that they are looking into the strike on the city administration, with one official saying that the shell fragments will be submitted for ballistic examination.
Moscow has repeatedly accused Ukraine of targeting residential blocks and civilian infrastructure in various towns in Donbass, with the strikes often resulting in destruction, injuries, and deaths.
Since the start of Russia’s military campaign in Ukraine, Western countries have supplied Ukraine with a significant amount of weaponry, munitions, and other aid. The US, in particular, has provided Ukraine with 20 HIMARS systems and ammunition for them, which Kiev has allegedly used to target civilians on numerous occasions.
Stark Realities with Brian McGlinchey | April 4, 2024
A principal goal of Stark Realities is to “expose fundamental myths across the political spectrum” — and few myths are as universally embraced as the notion that US participation in World War II (1941-1945) lifted the American economy out of the Great Depression.
This myth is dangerous not only because it leads citizens and politicians to see a bright side of war that doesn’t really exist, but also because it helps foster a belief that government spending is essential to countering economic downturns. That belief, in turn, has helped propel us to a point where the national debt now exceeds $34.6 trillion, with interest payments alone on pace to reach $1 trillion a year in 2026, inviting financial catastrophe. … continue
This site is provided as a research and reference tool. Although we make every reasonable effort to ensure that the information and data provided at this site are useful, accurate, and current, we cannot guarantee that the information and data provided here will be error-free. By using this site, you assume all responsibility for and risk arising from your use of and reliance upon the contents of this site.
This site and the information available through it do not, and are not intended to constitute legal advice. Should you require legal advice, you should consult your own attorney.
Nothing within this site or linked to by this site constitutes investment advice or medical advice.
Materials accessible from or added to this site by third parties, such as comments posted, are strictly the responsibility of the third party who added such materials or made them accessible and we neither endorse nor undertake to control, monitor, edit or assume responsibility for any such third-party material.
The posting of stories, commentaries, reports, documents and links (embedded or otherwise) on this site does not in any way, shape or form, implied or otherwise, necessarily express or suggest endorsement or support of any of such posted material or parts therein.
The word “alleged” is deemed to occur before the word “fraud.” Since the rule of law still applies. To peasants, at least.
Fair Use
This site contains copyrighted material the use of which has not always been specifically authorized by the copyright owner. We are making such material available in our efforts to advance understanding of environmental, political, human rights, economic, democracy, scientific, and social justice issues, etc. We believe this constitutes a ‘fair use’ of any such copyrighted material as provided for in section 107 of the US Copyright Law. In accordance with Title 17 U.S.C. Section 107, the material on this site is distributed without profit to those who have expressed a prior interest in receiving the included information for research and educational purposes. For more info go to: http://www.law.cornell.edu/uscode/17/107.shtml. If you wish to use copyrighted material from this site for purposes of your own that go beyond ‘fair use’, you must obtain permission from the copyright owner.
DMCA Contact
This is information for anyone that wishes to challenge our “fair use” of copyrighted material.
If you are a legal copyright holder or a designated agent for such and you believe that content residing on or accessible through our website infringes a copyright and falls outside the boundaries of “Fair Use”, please send a notice of infringement by contacting atheonews@gmail.com.
We will respond and take necessary action immediately.
If notice is given of an alleged copyright violation we will act expeditiously to remove or disable access to the material(s) in question.
All 3rd party material posted on this website is copyright the respective owners / authors. Aletho News makes no claim of copyright on such material.